CONCURSO DE VIDEOS CREATIVOSGeoPixel 2025: Concurso Audiovisual DIGEA
- Enlace formulario de inscripción: https://forms.
gle/Secu2R2ZtKscdiUy6 - Enviar videos a:
juan.yanez.g@usach.cl
Bases del concurso
- Objetivo
El Departamento de Ingeniería en Geoespacial y Ambiental (DIGEA) invita a sus estudiantes a participar en el Concurso de Videos Creativos DIGEA 2025,
cuyo propósito es incentivar la creación de contenido audiovisual que difunda las especialidades y el quehacer del departamento, destacando el
espíritu de terreno, el uso de tecnología, la vida universitaria y la contribución del DIGEA a la sociedad.
Estos videos serán utilizados como material de difusión oficial para atraer a futuros postulantes y visibilizar el aporte del departamento.
2. Público Objetivo
Podrán participar estudiantes de pregrado matriculados en cualquiera de las carreras pertenecientes al DIGEA. La participación podrá ser individual o en
equipos de hasta 4 estudiantes, especificando el rol de cada uno/a.
3. Categorías de Participación
● Geomensura y Geomática: Estudiantes de Ingeniería de Ejecución en Geomensura e Ingeniería Civil en Geomensura y Geomática
● Ambiente: Estudiantes de Ingeniería Ambiental e Ingeniería Civil en Ambiente)
● Territorio y Medioambiente: Estudiantes de Ingeniería Civil en Geografía e Ingeniería Civil en Territorio y Medioambiente.
● Quehacer de DIGEA: Abierta a todas las y los estudiantes del departamento.
4. Modalidad y Etapas
Etapa 1 – Inscripción y generación de contenido:
● Los equipos se inscriben en el formulario difundido por DIGEA.
● Envío inicial de videos antes de la publicación.
● Revisión de contenido y forma por parte del publicista y equipo VIME DIGEA.
● Devolverán observaciones para ajustes y se recibirá una versión modificada.
● Una vez aprobados, los videos pasan a la Etapa 2.
Etapa 2 – Difusión en redes sociales
● Los y las participantes publican el video en Instagram, TikTok u otras redes sociales, etiquetando las cuentas oficiales de DIGEA.
● Se valorará la creatividad en mensajes, uso de emojis y hashtags para lograr mayor alcance.
● Se registrarán métricas de alcance (me gusta, visualizaciones, compartidos) que influirán en la evaluación.
Etapa 3 – Votación en vivo
● Exhibición de los videos en vivo (lugar, día y hora por definir).
● Votación en vivo por parte del público.
● Se realizará una ponderación entre métricas de redes y votación presencial.
● Se premiarán los tres primeros lugares en cada categoría.
5. Formato y Condiciones Técnicas
● Duración: mínimo 30 segundos – máximo 3 minutos.
● Formato de entrega: MP4.
● Idioma: libre, siempre con subtítulos en español si corresponde.
● El formato de video es para redes sociales video vertical, 9/16.
● Se debe tener cuidado en las vestimentas a usar de acuerdo al contexto, por ejemplo si es necesario el uso de chalecos geólogos del departamento o algún otro EPP.
6. Criterios de Evaluación
La evaluación considerará dos componentes:
1. Métricas en redes sociales: cantidad de “me gusta”, visualizaciones y compartidos.
2. Votación en vivo.
Ecuación de ponderación:

Desglose de cada componente (normalizados):
Redes sociales (60%)
Escalado según el puntaje más alto en métricas.

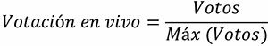
Votación en vivo (40%):
También normalizado entre 0 y 1:

7. Premios
Se reconocerán los 3 primeros lugares en cada una de las 4 categorías:
| Categoría | 1° lugar | 2° lugar | 3° lugar |
| Geomensura y Geomática | $300.000 | $200.000 | $100.000 |
| Ambiente | $300.000 | $200.000 | $100.000 |
| Territorio y Medioambiente | $300.000 | $200.000 | $100.000 |
| Quehacer de DIGEA | $300.000 | $200.000 | $100.000 |
El premio se repartirá en la cantidad de integrantes de cada grupo premiado.
8. Cronograma
● Apertura de convocatoria: 13/10/25
● Cierre de inscripción: 24/10/25
● Recepción de videos: 29/10/25
● Revisión por VIME y publicista: 3/11/25
● Entrega de videos corregidos: 5/11/25
● Difusión en redes sociales: 6/11/25 – 13/11/25
● Votación en vivo y premiación: 14/11/25
9. Derechos de Uso del Material
Los participantes aceptan ceder a DIGEA los derechos de uso, edición y difusión de los videos presentados, con fines de promoción institucional y campañas oficiales.
10. Restricciones
● Los videos no podrán incluir material con copyright sin licencia o autorización (derecho de uso).
● Está prohibido el uso de lenguaje ofensivo, contenido discriminatorio, referencias a alcohol o drogas.
● El incumplimiento de estas normas resultará en la descalificación inmediata.
11. Notas Adicionales
● Los equipos que requieran espacios o equipos del departamento
deberán solicitarlo al encargado con anticipación (ayaz.alam@usach.cl).